Skip to primary content
RobertLovesPi.net
Polyhedra, tessellations, and more.
Search
Main menu
Home
About RobertLovesPi
Copyright-Free Notice
Disclaimers
Note Re: Images Here
Tip Jar
Image navigation
← Previous
Next →
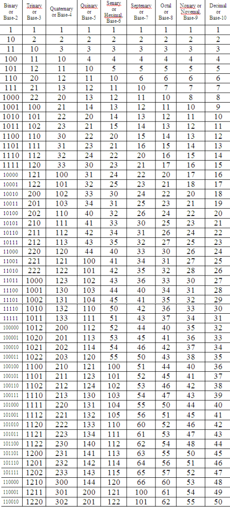
BASES 2 TO 10
Published
9 June 2014
at
529 × 1162
in
BASES 2 TO 10
Leave a comment
Cancel reply
Δ
Comment
Subscribe
Subscribed
RobertLovesPi.net
Join 964 other subscribers
Sign me up
Already have a WordPress.com account?
Log in now.
RobertLovesPi.net
Subscribe
Subscribed
Sign up
Log in
Copy shortlink
Report this content
View post in Reader
Manage subscriptions
Collapse this bar