I have a friend who once explained to me his way of understanding spacetime, and what Einstein discovered about it, which was to start with the idea that, as he put it, “everything is traveling at c,” and proceed from there. Light travels at c, of course, but time does not pass for light, forming vector AG, shown in purple. A spatially-stationary rock is still traveling — temporally, into the future, at a rate of sixty seconds per minute, as represented by dark green vector AN. My friend’s idea was to interpret this rate of time-passage — the normal time passage-rate we generally experience — as another form of c. Sublight moving objects are moving at c, according to this idea, as a vector sum of temporal and spatial velocities. In this diagram, all spatial dimensions are collapsed into one direction (parallel to the x-axis), while time runs up (never down) the y-axis, into the future (never the past).
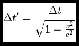
I don’t know why it took me perhaps a decade to see that my friend’s idea is testable. Better than that, the data needed to test it already exist! All I need to do is cross-check the predictions of my friend’s idea against a thoroughly-tested formula regarding relativistic time dilation. The relevant equation for time dilation is this one, which you can find in any decent Physics textbook:
In the diagram at the top of this post, the blue horizontal component-vector NM represents a spatial velocity of (c)sin(10º) = 0.173648c. It is a component of the total velocity of the object represented by blue vector AM, which is, if my friend is correct, is c, as a vector-sum total velocity — the sum, that is, of temporal and spatial velocities. By the equation shown above, then, the measured elapsed time for an event — say, the “minute,” in “seconds per minute” — to take place, at an object with that speed, as measured by a stationary observer, should be 1/sqrt[1-(0.173648)²] = 1/sqrt(1 – 0.0301537) = 1/sqrt(0.969846) = 1/0.984808 = 1.01543 times as long as the duration of the same event, for the observer, with the event happening at the observer’s location.
Now, if time is taking longer to pass by, then an object’s temporal speed is shrinking, so this slightly longer elapsed time corresponds to a slightly slower temporal speed. As seen in the equations above, near the end of the calculation, the two have a reciprocal relationship, so such an object’s temporal speed would only be 0.984808(temporal c) = 0.984808(60 seconds/minute) = 59.0885 seconds per minute. Therefore, an object moving spatially at 0.173648c would experience time at 0.984808k, where k represents the temporal-only c of exactly 60 seconds per minute — according to Einstein.
Next, to check this against my friend’s “everything moves at c” idea, I need only compare 0.984808 to the cosine of 10º, since, in the diagram above, based on his idea, vector BM = (vector AM)cos(10º). The cosine of 10º = 0.984808, which supports my friend’s hypothesis. It has therefore just passed its first test.
As for the other sets of vectors in the diagram, they provide opportunities for additional testing at specific relativistic spatial velocities, but I’m going to skip ahead to a generalized solution which works for any spatial velocity from zero to c, corresponding to angles in the diagram from zero to ninety degrees. Substituting θ for 10º, the spatial velocity, (c)sin(10º), becomes simply (c)sinθ, which corresponds to a temporal velocity of (c)cosθ, with it then necessary to show that the “cosθ” portion of this expression is equivalent to the reciprocal of 1/sqrt[1 -(sinθ)²], after the cancellation of c² in the numerator and denominator of the fraction, under the radical, in the denominator of Einstein’s equation for time dilation. By substitution, using the Pythagorean trigonometric identity 1 = (sinθ)² + (cosθ)², rearranged as 1 – (sinθ)² = (cosθ)², the expression 1/sqrt[1 -(sinθ)²] = 1/sqrt[(cosθ)²] = 1/cosθ, the reciprocal of which, is, indeed, cosθ, which is what needed to be shown for a generalized solution.
My friend’s name is James Andrew Lemley. When I started writing this post (after the long process of preparing the diagram), I did not know what result I would get, comparing what logically follows from Andrew’s idea with the well-tested conclusions of Einstein’s time-dilation formula, at even one specific relativistic speed. Andrew, I salute you, and think this this looks quite promising. Based on the calculations above, and after all these years, I must tell you that I now think you are, indeed, correct: in a sense that allows us to better understand spacetime, we are all moving at c.


